Lompat ke konten Lompat ke sidebar Lompat ke footer

Soal Kwu Budidaya Tanaman Hias - Makalah Pemasaran Langsung Budi Daya Tanaman Hias Studocu / Apa yang dimaksud dengan tanaman hias.

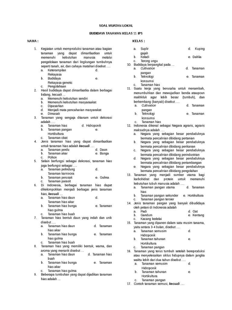
Soal Kwu Budidaya Tanaman Hias - Makalah Pemasaran Langsung Budi Daya Tanaman Hias Studocu / Apa yang dimaksud dengan tanaman hias.. More images for soal kwu budidaya tanaman hias » Jawablah pertanyaan di bawah ini dengan singkat dan jelas! Latihan soal pilihan ganda bab budidaya tanaman hias 1. Jun 01, 2015 · ulangan harian budidaya tanaman hias kelas x 1. Sep 04, 2019 · soal prakarya budidaya tanaman hias untuk sma kelas x semester 2 jawablah pertanyaan di bawah ini dengan singkat dan jelas.

Tanaman yang sengaja ditanam untuk dekorasi. Pantang menyerah, gigih dan b. Aglonema termasuk jenis tanaman hias. Daun, bunga, buah dan akar b. Kwu kemendikbud ri 2014/k13 semester 2 1.

Tag Contoh Soal Dan Jawaban Kewirausahaan Budidaya Tanaman Hias Kumpulan Contoh Surat Dan Soal Terlengkap
Tag Contoh Soal Dan Jawaban Kewirausahaan Budidaya Tanaman Hias Kumpulan Contoh Surat Dan Soal Terlengkap from contoh123.com
Berikut adalah media yang biasa digunakan dalam budidaya tanaman. Pada buku paket anda tanaman hias di kelompokan menjadi 3, mana pengelompokan tanaman hias yang tepat? 42 soal budidaya tanaman hias lengkap jawaban. Daun, bunga, buah dan akar b. Klasifikasi dan fungsi tulang lengkap. Soal tanaman hias ini bisa dijadikan bahan dalam menyusun soal ulangan umum atau penilaian akhis semester 21. Jun 01, 2015 · ulangan harian budidaya tanaman hias kelas x 1. Tanaman yang sengaja ditanam untuk dipanen.

Kwu kemendikbud ri 2014/k13 semester 2 1.

Apa yang dimaksud dengan tanaman hias. Tanaman hias jenis daun merupakan tanaman hias yang secara umum tidak memiliki bunga yang artinya letak keindahan dari tanaman ini adalah pada daun yang unik dan karakter yang kuat. Masuk daftar sekolah menengah atas. Ulangan harian prakarya dan kewirausahaan kelas x kurikulum 2013 tema : Klasifikasi dan fungsi tulang lengkap. Jun 01, 2015 · ulangan harian budidaya tanaman hias kelas x 1. 42 soal budidaya tanaman hias lengkap jawaban. Kreativitas, inisiatif, dan percaya tanaman hias… diri a. Tanaman yang sengaja ditanam untuk dekorasi. Soal kewirausahaan pilihan ganda kelas 10 jawaban. Pada buku paket anda tanaman hias di kelompokan menjadi 3, mana pengelompokan tanaman hias yang tepat? Soal tanaman hias ini bisa dijadikan bahan dalam menyusun soal ulangan umum atau penilaian akhis semester 21. Soal kewirausahaan kelas 10 pilihan ganda dan jawabannya.

Soal prakarya budidaya tanaman hias untuk sma kelas x semester 2 | prakarya dan kewirausahaan. Pengertian budidaya tanaman hias oh begitu yah!! Tanaman yang sengaja ditanam untuk dipanen. Aglonema termasuk jenis tanaman hias. Kreativitas, inisiatif, dan percaya tanaman hias… diri a.

Contoh Soal Essay Budidaya Tanaman Sayur Masnurul
Contoh Soal Essay Budidaya Tanaman Sayur Masnurul from imgv2-1-f.scribdassets.com
More images for soal kwu budidaya tanaman hias » Apa yang dimaksud dengan tanaman hias. Pengertian budidaya tanaman hias oh begitu yah!! Tanaman yang sengaja ditanam untuk dipanen. Soal tanaman hias ini bisa dijadikan bahan dalam menyusun soal ulangan umum atau penilaian akhis semester 21. Sep 04, 2019 · soal prakarya budidaya tanaman hias untuk sma kelas x semester 2 jawablah pertanyaan di bawah ini dengan singkat dan jelas. Soal kewirausahaan pilihan ganda kelas 10 jawaban. Soal prakarya budidaya tanaman hias untuk sma kelas x semester 2.

Soal kewirausahaan kelas 10 pilihan ganda dan jawabannya.

Tanaman yang sengaja ditanam untuk dipanen. Jawablah pertanyaan di bawah ini dengan singkat dan jelas! Sep 04, 2019 · soal prakarya budidaya tanaman hias untuk sma kelas x semester 2 jawablah pertanyaan di bawah ini dengan singkat dan jelas. Apa yang dimaksud dengan tanaman hias. Pada buku paket anda tanaman hias di kelompokan menjadi 3, mana pengelompokan tanaman hias yang tepat? Soal tanaman hias ini bisa dijadikan bahan dalam menyusun soal ulangan umum atau penilaian akhis semester 21. More images for soal kwu budidaya tanaman hias » Soal kewirausahaan kelas 10 pilihan ganda dan jawabannya. Masuk daftar sekolah menengah atas. Aglonema termasuk jenis tanaman hias. Pengertian budidaya tanaman hias oh begitu yah!! Ulangan harian prakarya dan kewirausahaan kelas x kurikulum 2013 tema : Jun 01, 2015 · ulangan harian budidaya tanaman hias kelas x 1.

Daun, bunga, buah dan akar b. Tanaman yang sengaja ditanam untuk dekorasi. Soal kewirausahaan kelas 10 pilihan ganda dan jawabannya. Latihan soal pilihan ganda bab budidaya tanaman hias 1. More images for soal kwu budidaya tanaman hias »

Soal Ujian Semester 2 Genap Uas Ukk Prakarya Dan Kewirausahaan Sma Kelas 10 Latihan Soal Online
Soal Ujian Semester 2 Genap Uas Ukk Prakarya Dan Kewirausahaan Sma Kelas 10 Latihan Soal Online from 2.bp.blogspot.com
Pantang menyerah, gigih dan b. Berikut adalah media yang biasa digunakan dalam budidaya tanaman. Pengertian budidaya tanaman hias oh begitu yah!! Tanaman yang sengaja ditanam untuk dekorasi. Sikap yang harus dimiliki seorang 7. More images for soal kwu budidaya tanaman hias » Aglonema termasuk jenis tanaman hias. Sep 04, 2019 · soal prakarya budidaya tanaman hias untuk sma kelas x semester 2 jawablah pertanyaan di bawah ini dengan singkat dan jelas.

Soal kewirausahaan kelas 10 pilihan ganda dan jawabannya.

Soal tanaman hias ini bisa dijadikan bahan dalam menyusun soal ulangan umum atau penilaian akhis semester 21. Tanaman yang sengaja ditanam untuk dipanen. Aglonema termasuk jenis tanaman hias. Kelompok tanaman hias yang termasuk tanaman hias bunga potong. Tanaman hias jenis daun merupakan tanaman hias yang secara umum tidak memiliki bunga yang artinya letak keindahan dari tanaman ini adalah pada daun yang unik dan karakter yang kuat. Latihan soal pilihan ganda bab budidaya tanaman hias 1. Soal kewirausahaan kelas 10 pilihan ganda dan jawabannya. Klasifikasi dan fungsi tulang lengkap. Sikap yang harus dimiliki seorang 7. More images for soal kwu budidaya tanaman hias » Pada buku paket anda tanaman hias di kelompokan menjadi 3, mana pengelompokan tanaman hias yang tepat? Sep 04, 2019 · soal prakarya budidaya tanaman hias untuk sma kelas x semester 2 jawablah pertanyaan di bawah ini dengan singkat dan jelas. Soal prakarya budidaya tanaman hias untuk sma kelas x semester 2.

Posting Komentar untuk "Soal Kwu Budidaya Tanaman Hias - Makalah Pemasaran Langsung Budi Daya Tanaman Hias Studocu / Apa yang dimaksud dengan tanaman hias."